ํ์ฌ ํ๊ตญ๋ด ์ง์ฟฑ ์บ ํผ์ค๋ ์ ๋ถ์์ ์ฝ๋ก๋๋ก ๊ด๋ จ ๋ฐฉ์ญ์ง์นจ(๋ค๋จ๊ณ ํ๋งค์
)์ ๋ฐ๋ผ ์ธ๋ฏธ๋ ๋ฑ์ ์งํ๋์ง ์๊ณ ์์ผ๋ฉฐ, ๊ทธ์ ๋ฐ๋ผ ์บ ํผ์ค๋ด ์์์ ์ ๋ฌํ์ง ๋ชปํฉ๋๋ค. ์ ํ๋ธ ์๋ฐฉ์ก์ ํด๋น ๊ฐ์ฌ์ง๋ค๋ง ์ฐธ์ฌํ์ฌ ์งํ๋๊ณ ์์ต๋๋ค. 7์ 1์ผ๋ถํฐ ์์ธ, ์์ฐ, ๋ถ๋น, ํํ, ์ธ์ฒ, ๋์ , ์ต์ฐ, ๊ด์ฃผ ์บ ํผ์ค๋ ์ ์ ํ์ํฉ๋๋ค. ์์ธํ ๋ด์ฉ์ ์๋ ์ฌํญ์ ํด๋ฆญํด์ฃผ์ธ์.(2020. 7.3 ํ)
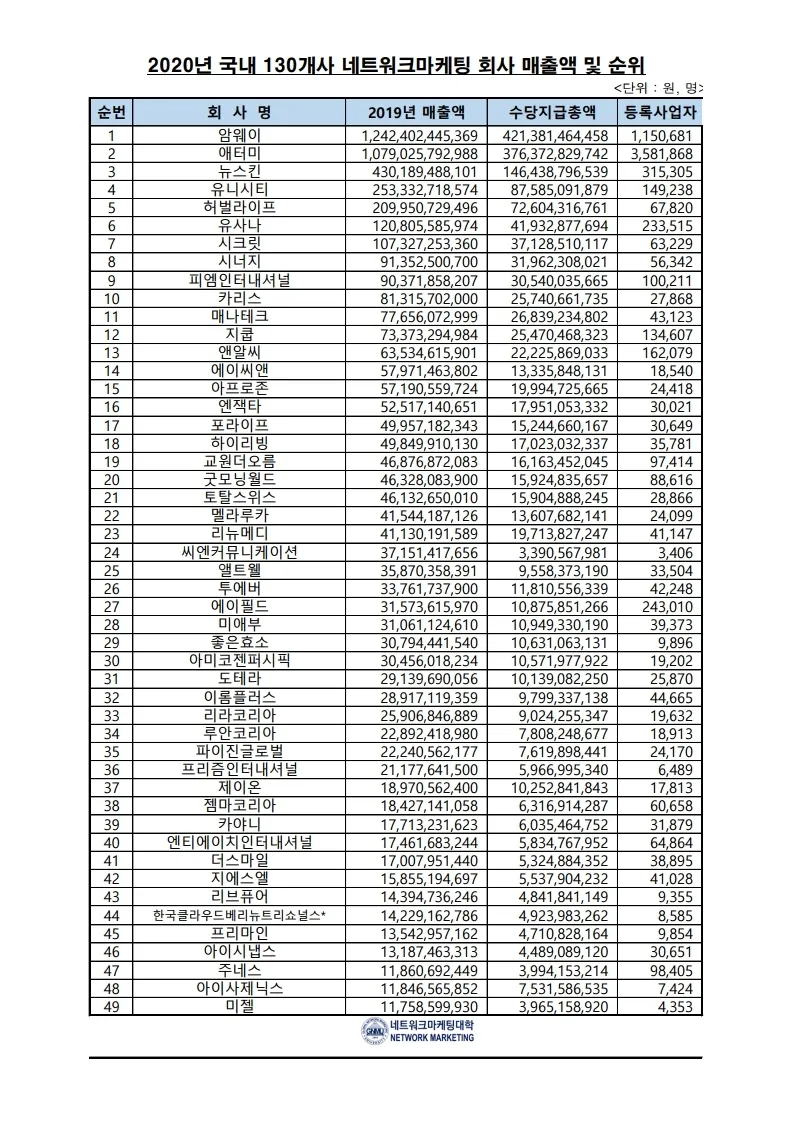
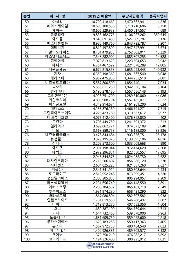
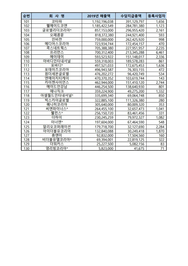
2020๋ ๊ตญ๋ด ๋คํธ์ํฌ๋ง์ผํ ์ ์ฒด ๋งค์ถ์์, ๋งค์ถ์ก ์ฃผ์ ํํฉ
โข
๊ณต์ ๊ฑฐ๋์์ํ์์ 7์ 15์ผ <2019๋
๋ค๋จ๊ณ์
์ฒด ์ฃผ์ ์ ๋ณด ๊ณต๊ฐ>๊ฐ ๋ฐํ๋์์ต๋๋ค.
Gallery view
Search
์ง์ฟฑ ์์ GCOOP NEWS
GCOOP Vietnam 7์ 22์ผ ๊ทธ๋๋ ์คํ!!!!
์ง์ฟฑ ์น๊ธ์์
โข
๋ด ๋ธ๋ฃจ๋ค์ด์๋ชฌ๋ ๊น์๊ท ์ฌ์ฅ๋ ์ถํํฉ๋๋ค.
โข
๋ด๋ค์ด์๋ชฌ๋ ํ์!! ์ถํํฉ๋๋ค.
โข
๋ด์๋ฉ๋๋ ํ์!!
G Family News ์ง์ฟฑ ๋ด์ค
์ ๊ธฐ๊ตฌ๋งค ์ ์ฒญ๋ฐฉ๋ฒ๊ณผ ๋ณ๊ฒฝ ๋ฐฉ๋ฒ
8์ 1์ผ ์ ์ ํ ์ง์ฟฑ ๋ผํ 402VIP ์ถ์ : ์์ฝ์ฒ ํ๊ฐ ์ฌ๊ด์ ํดํ์ฑ ๊ด์ ์ผ ํต์ฆ์ํ(์น๋ฃ)
โข
1,2์ฐจ ์ฌ์ ์์ฝํ๋งค ์ด 200๋ ์ข
๋ฃ๋์์ต๋๋ค. 8์ 1์ผ๋ถํฐ ์ ์ํ๋งค๋ฉ๋๋ค.
ใ ์ฌ์ฑ๋ค์ ์ํ ์ถ๊ฐ๊ตฌ์ฑ ์ธ๋จธ ์ด๋ฒคํธ ์๋ด ใ
๋ฌด๋์ด ์ฌ๋ฆ์ฒ ! ์ฌ์ฑ๋ค์ ์์คํ Y์กด์ ๊ฐํธํ๊ณ ์ฒญ๊ฒฐํ๊ฒ ๊ด๋ฆฌํ ์ ์๋๋ก '์ผ์ด์
๋ผ Wํด๋ฆฐ์ ' ๊ตฌ๋งค ์ '์ง์ฟฑ W ์ผ์ด'๊ฐ ์ถ๊ฐ ๊ตฌ์ฑ๋๋ ์ธ๋จธ ์ด๋ฒคํธ๊ฐ ์งํ๋ ์์ ์
๋๋ค.
์ด ๊ธฐํ๋ฅผ ๋์น์ง ๋ง์๊ณ Wํด๋ฆฐ์ ๊ฐ๊ฒฉ์ผ๋ก W์ผ์ด๋ ํจ๊ป ๋ฐ์๋ณด์ธ์.
1.
ํ๋งค์ผ : 2020๋
7์ 24์ผ(๊ธ) ์ค์ 10์๋ถํฐ
2.
๋ด์ฉ : [์ผ์ด์
๋ผ W ํด๋ฆฐ์ ] ๊ตฌ๋งค ์ [์ง์ฟฑ W ์ผ์ด] ์ถ๊ฐ ๊ตฌ์ฑ
3.
ํ์ ์๋ : 1,000๊ฐ ํ์
4.
์ ํ๋ช
: [์ถ๊ฐ๊ตฌ์ฑ] ์ผ์ด์
๋ผ W ํด๋ฆฐ์
5.
๊ตฌ์ฑ์ ํ : ์ผ์ด์
๋ผ Wํด๋ฆฐ์ + ์ง์ฟฑ W ์ผ์ด
GCOOP Taiwan
ใๅฐ็ฃ้ๅบซ้ ๅฐไบบ็ทไธไบๆฅญ่ชชๆใ
7/22๏ผไธ๏ผ้ๅบซ ้ ๅฐไบบ็ทไธไบๆฅญ่ชชๆ็ธ้ๅ
งๅฎน๏ผ่ซๅ่ไธๅ่ชชๆใ
โ ไธ่ชฒๆนๅผ๏ผZOOM็ทไธ่ชฒ็จ
โ ่ชฒ็จๆ้๏ผ7ๆ 22ๆฅ(ไธ) 20:00(1ๅฐๆ)
โ ่ชฒ็จๅ
งๅฎน๏ผๆณๅฅๅบทๅ
ๆๆฏ
โ ่ฌๅธซ๏ผๆดช้บๅต ้ๅบซไบบ
ใ2020ๅนด ๅฐไธญๅฐๅ ้ๅบซไบๆฅญ่ชชๆๆใ
่ช2020ๅนด8ๆไปฝ่ตท๏ผๆฏๆ็ฌฌไบๅจ็ๆๆๅ๏ผๅ
ฌๅธๆๅจๅฐไธญๅฐๅ่่พฆ้ๅบซไบๆฅญ่ชชๆๆ๏ผ่ฉณ็ดฐๅ
งๅฎน๏ผ่ซๅ่ไธๅ่ชชๆใ
1.
ๆ้ : 2020ๅนด 8ๆ 6ๆฅ(ๅ) 19:30 ~
2.
ไธป่ฌไบบ๏ผ้ๅบซๅฐ็ฃ ่พ่ฒ่ณข ๆฏ็คพ้ท
3.
ๅฐ่ฑก : ๅฐ็ฃไธญ้จๅฐๅ็้ๅบซๆๅกไปฅๅๆณ็ญ่งฃ้ๅบซ็ๆฐๆๅ
4.
ๅฐ้ป๏ผๅฐไธญๅธ ่ฅฟๅฑฏๅ ๆๅฏ่ทฏ 213่ 3ๆจไน1
CBD ไบ็ๅๅไธญๅฟ II ้คจ LOUNGE BAR
5.
ๆณจๆไบ้
1)ๅด็ฆ้ฃฒ้ฃ๏ผๅๅพ้่ช่กๅธถ่ตฐ๏ผๆฌไธญๅฟB1ๆๅๅพ่็้๏ผ่ฌ่ฌ.
GCOOP Japan
ใๆฐ่ฃฝๅ่ฒฉๅฃฒใฎใๆกๅ
ใ
ไปๅนด2ๅ็ฎใฎๆฐ่ฃฝๅใฎ่ฒฉๅฃฒใๆฑบๅฎใใพใใ!!
ไปๅใฏใ่ผธๅ
ฅใๅฎไบใใ่ฃฝๅใใ้ ๆฌก่ฒฉๅฃฒใ้ๅงใใใใจใซใใใๅฐใใงใๆฉใ็ๆงใฎใๆๅ
ใซ่ฃฝๅใๅฑใใใใใใ้
ๆ
ฎ่ดใใพใใใ
ใใฎ็ฌฌ1ๅผพใจใใฆใ23ๆฅใใใ3๏ฝLใใใใฆใๅ
จ10็จฎ้กใใฎ่ฒฉๅฃฒใ้ๅง่ดใใพใใ
ๆ
่กใๅบๅผตใชใฉใธใฎๆใก้ใณใซใไพฟๅฉใชใตใคใบใงใใใฆใๅ
่ฃ
ใชใฎใงใใใฐใใใใใกใใๆฉๅ
ๆใก่พผใฟใๅฏ่ฝ!!
ใธใฏใใใฎ่ฃฝๅใๅใใฆใ่ฆใใใๆนใซใใๅ
ใใฏ่ฉฆใใซไฝฟใฃใฆใฟใฆ!!ใใจๆฐ่ปฝใซๆธกใใใตใคใบใชใฎใงใไบๆฅญๆดปๅใฎ่ฒฉไฟๅใจใใฆใใชในในใกใงใใ
่ฃฝๅใฎ่ฉณใใๆ
ๅ ฑใฏใทใงใใใณใฐใขใผใซใฎ่ฃฝๅใใผใธใใใ็ขบ่ชใใ ใใใ
ๆฐ่ฃฝๅใฎ่ฒฉๅฃฒใฏ7ๆ23ๆฅ(ๆจ)ใๅๅ0ๆในใฟใผใใงใ!!
โปๆฎใใฎ17็จฎ้กใ่ผธๅ
ฅใๅฎไบๆฌก็ฌฌใ้ ๆฌก่ฒฉๅฃฒใ้ๅงใใไบๅฎใงใใฎใงใๆๅพ
ใใ ใใโช
์ ํํ์ต GPS - 16ํธ CK๋ง์คํฌ
์บกํด์ฟก๋ฐฉ
์งํ์คํ(GFESTA)์์ ํ๋งค๋๋ ์์ฌ๋ฃ๋ฅผ ํ์ฉํ ์์ ํ ์บกํด์ ๊ฐํธํ ์๋ฆฌ ์๋ฆฌ์ฆ. ๋ง์๋ ์์๊ณผ ํจ๊ป ์ฆ๊ฑฐ์ด ๋ํ๊น์ง ์ฆ๊ธฐ๋ ์๋ฆฌ์ฆ ์์์
๋๋ค.
โข
์์ ์ ์๊ฐ๋ ์ ํ๊ณผ ๊ตฌ์
์๋ด
์ง์ฟฑ ๊ธ๋ก๋ฒ ๋ณธ์ฌ ๋ฐ ์ง์ฌ ์ฃผ์
Default view
Search
Gallery view
Search
๋คํธ์ํฌ๋ง์ผํ ์ ๋๋ก ํ์ตํ๊ธฐ
โข
์ธํํธ ์๋, ์จ๋ผ์ธ์ผ๋ก ๋ฐฐ์ฐ๋ ๋ฌด๋ฃ ๋คํธ์ํฌ๋ง์ผํ
45๊ฐ์ข
โข
๊ธฐ์ด-์ค๋ฌด-MBA 3๊ฐ์ ๊ณผ์ ์ผ๋ก ์งํ๋๋ฉฐ, ํ์ฌ โ์ด๋ณด ์ฌ์
์๋ฅผ ์ํ ๊ธฐ๋ณธ๊ณผ์ 15๊ฐ์ขโ๊ฐ ์งํ์ค์
๋๋ค.
โข
์ด๋ณด ์ฌ์
์๋ฅผ ์ํ ๊ธฐ๋ณธ๊ณผ์ ๋ณด๋ฌ๊ฐ๊ธฐ
ํด๋ฆญ
์ผ๋ฏธ์ฝ๋ฏธ 1์ธ์ฝ๋ผ๋ณด๋ ์ด์ ์คํ๋ฏธํ 23์ฐจ์
1์ธ๋ฏธ๋์ด ์ฝ๋ผ๋ณด๋ ์ด์
๊ฑฐ๋ฆฌ๋๊ธฐ open ๋ฏธํ
<์ผ๋ฏธ์ฝ๋ฏธ>23์ฐจ์๋
์ถ์ฒ ์ฐํ ๋ฆฌ๋ ๊ทธ๋ฆฌ์ค ๋ง๋น์์ ํฉ๋๋ค. ์ธ์ ๋ ์ง, ๋๊ตฌ๋ ์ง ํ์ํฉ๋๋ค.
โข
์ผ์ : 2020. 7. 21(ํ) ์คํ 1์
โข
์ฃผ์ : ์ธํ
์๋ ๋น๋๋ฉด ์จ๋ผ์ธ ํ์ฉ๋ฒ๊ณผ ๋ฐ์ด๋๋ฆฌ 10-2์์คํ
๋ฉค๋ฒ์ญ ๊ตฌ์ถ๋
ธํ์ฐ
๊ณผ์ํธ
Copyright 2020 SUCCESS WORLD MAGAZINE. All Rights Reserved.
์์ธ์ค๋งค๊ฑฐ์งSUCCESS WORLD์์ ๋ฐํํ๋ ๋น๋๋ฉด ์จ๋ผ์ธ ์์์ง์
๋๋ค.
๋ด์ค์ ๋ณด
ksgroup382@naver.com






















