ํ์ฌ ํ๊ตญ๋ด ์ง์ฟฑ ์บ ํผ์ค๋ ์ ๋ถ์์ ์ฝ๋ก๋๋ก ๊ด๋ จ ๋ฐฉ์ญ์ง์นจ(๋ค๋จ๊ณ ํ๋งค์
)์ ๋ฐ๋ผ ์ธ๋ฏธ๋ ๋ฑ์ ์งํ๋์ง ์๊ณ ์์ผ๋ฉฐ, ๊ทธ์ ๋ฐ๋ผ ์บ ํผ์ค๋ด ์์์ ์ ๋ฌํ์ง ๋ชปํฉ๋๋ค. ์ ํ๋ธ ์๋ฐฉ์ก์ ํด๋น ๊ฐ์ฌ์ง๋ค๋ง ์ฐธ์ฌํ์ฌ ์งํ๋๊ณ ์์ต๋๋ค. 7์ 1์ผ๋ถํฐ ์์ธ, ์์ฐ, ๋ถ๋น, ํํ, ์ธ์ฒ, ๋์ , ์ต์ฐ, ๊ด์ฃผ ์บ ํผ์ค๋ ์ ์ ํ์ํฉ๋๋ค. ์์ธํ ๋ด์ฉ์ ์๋ ์ฌํญ์ ํด๋ฆญํด์ฃผ์ธ์.(2020. 7.3 ํ)
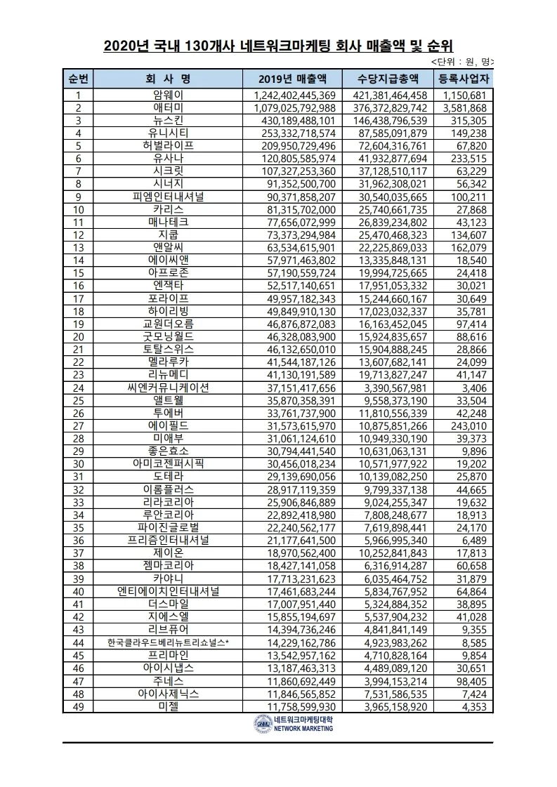
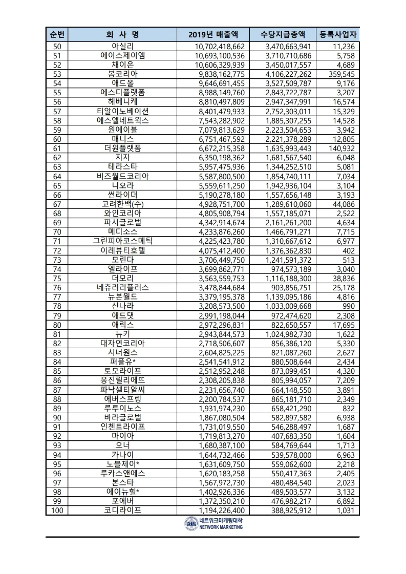
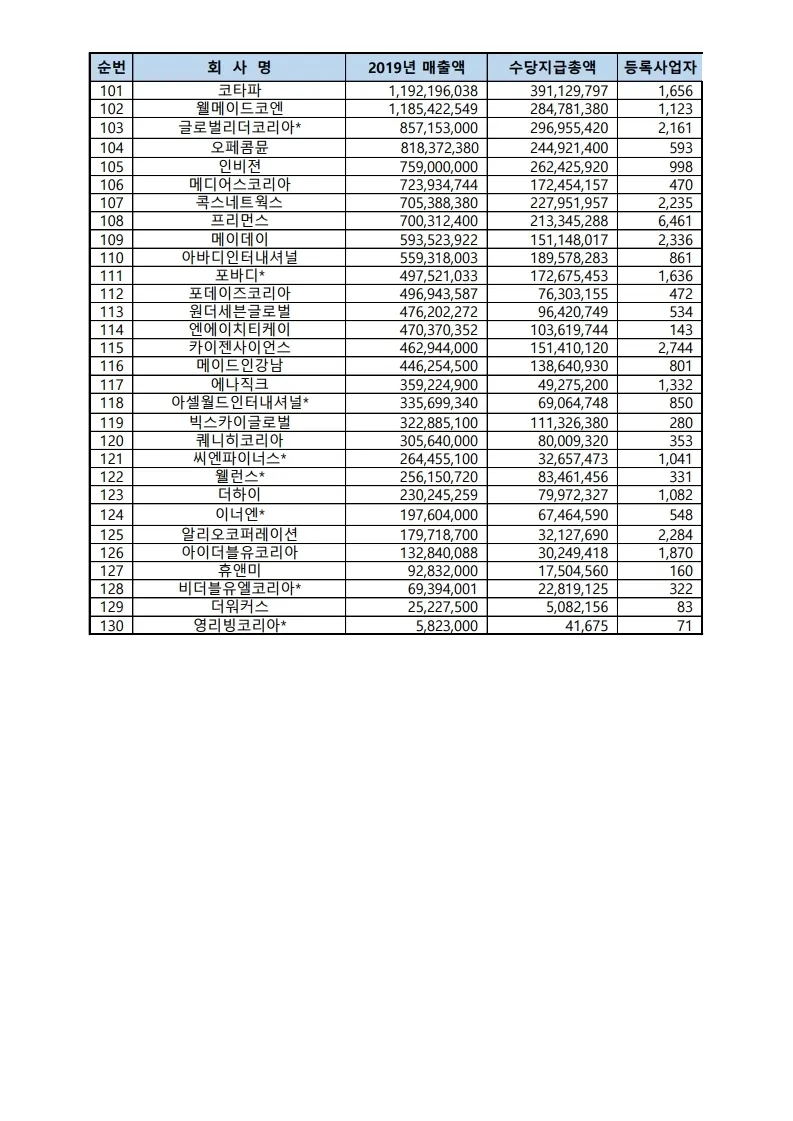
2020๋ ๊ตญ๋ด ๋คํธ์ํฌ๋ง์ผํ ์ ์ฒด ๋งค์ถ์์, ๋งค์ถ์ก ์ฃผ์ ํํฉ
โข
๊ณต์ ๊ฑฐ๋์์ํ์์ 7์ 15์ผ <2019๋
๋ค๋จ๊ณ์
์ฒด ์ฃผ์ ์ ๋ณด ๊ณต๊ฐ>๊ฐ ๋ฐํ๋์์ต๋๋ค.
Gallery view
Search
์ง์ฟฑ ์์ GCOOP NEWS
์ ๋๋ด๋ฐ์ด์ค ์์ธ๊ณ์ธต์ ์ผ์ด์ ๋ผ 9,100์ธํธ ๊ธฐ๋ถ
๊ตญ๋ด ๋ํ ์ฌํ์ ๊ธฐ์
์ธ ์ ๋๋ด๋ฐ์ด์ค(์ฃผ)(๋ํ์ด์ฌ ์์ ํ)๊ฐ ์ฌ๋ฆ์ฒ ์ ๋ง์ ์ง์ญ ์์ธ ๊ณ์ธต์ ์ํด ์ฝ 8,200๋ง ์ ์๋น์ ๋ฌผํ์ ์ ๋ฌํ๋ค๊ณ 7์ 17์ผ ๋ฐํ๋ค.
์ ๋๋ด๋ฐ์ด์ค๋ ํญ์ผ์ด ์๊ณ ๋ ์ฌ ์ฌ๋ฆ์ฒ ์ ๋๋นํด ์์ธ ๊ณ์ธต๋ค์ ํผ๋ถ ๊ด๋ฆฌ๋ฅผ ๋๊ณ ์ ์ด๋ฒ ์ ํ ํ์์ ๊ธฐํํ๋ค.
์ ๊ธฐ๊ตฌ๋งค ์๋๊ฒฐ์ ๋ณ๊ฒฝ ์๋ด
โ ์ํ์ผ: 2020๋
7์ 15์ผ(์) ์ค์ 10์๋ถํฐ
โ ๋ณ๊ฒฝ์ฌํญ
1. ๋ณธ์ธ์ ์๋๊ฒฐ์ ๊ธฐ๊ฐ์๋ ํ์ ์ ํ ์์ด ๋คํ
์๋๊ฒฐ์ ๊ฐ๋ฅ
- ๋ณ๊ฒฝ ์ : ์๋๊ฒฐ์ ๊ฐ ์คํจํ๋ฉด ์๋๊ฒฐ์ ๋ฅผ ํตํด
1ํ ๊ตฌ๋งค ๊ฐ๋ฅ
- ๋ณ๊ฒฝ ํ: ๋ณธ์ธ์ ์๋๊ฒฐ์ ๊ธฐ๊ฐ์๋ ์ธ์ ๋ ์ง
์๋๊ฒฐ์ ๋ฅผ ํตํด ๋คํ ๊ตฌ๋งค ๊ฐ๋ฅ
(์๋๊ฒฐ์ ๊ธฐ๊ฐ ์ธ์๋ ์๋๊ฒฐ์ ๋ถ๊ฐ ํฉ๋๋ค.)
2.๋ณธ์ธ์ ์ ๊ธฐ๊ตฌ๋งค ๊ฒฐ์ ๊ธฐ๊ฐ์ ๋คํ ๊ตฌ๋งคํ
BV๋ ๋ชจ๋ ํฉ์ฐ ์ ์ฉ๋ฉ๋๋ค.
[๋คํ ๊ตฌ๋งค ์ BV ํฉ์ฐ ์์]
์กฐ๊ฑด: ๋ณธ์ธ์ ์ ๊ธฐ๊ตฌ๋งค ๊ฒฐ์ ๊ธฐ๊ฐ
(์์์ผ ~ ์ต์ฃผ ํ์์ผ)์ ๋คํ ๊ตฌ๋งค
๋ชฉ์์ผ ์๋๊ฒฐ์ : 20BV
ํ ์์ผ ์๋๊ฒฐ์ : 15BV
์ผ์์ผ ์๋๊ฒฐ์ : 15BV
= ์ด 50BV ์ธ์
3. ์ฃผ์์ฌํญ
์ ๊ธฐ๊ตฌ๋งค ๋คํ๊ตฌ๋งค๋ก ํฉ์ฐ๋์ด 100BV๊ฐ ๋์ด๋
์ ๊ธฐ๊ตฌ๋งค ์ฐ์ ์ด๋ฒคํธ๋50BV ๊น์ง๋ง ์ธ์ ๋ฉ๋๋ค.
(1์ฃผ๋ฌธ๊ฑด์ด 100BV ๋๋ ๊ฒฝ์ฐ์๋ง ์ธ์ ๋ฉ๋๋ค.)
Plain Text
๋ณต์ฌ
์ฝ๋ก๋ 19 ๊ธด๊ธ ๊ณ ์ฉ์์ ์ง์๊ธ ์ ์ฒญ ์๋ด์ ๊ฑด ~7.20๊น์ง
์ ์ ํ ์๋ด - ์จ์ผ์ด ๋ง์คํฌ
'You Only Live Once'์ธ์์ ํ ๋ฒ ๋ฟ!
์์คํ ์์ ์ ์ํด์์คํ ํผ๋ถ๋ฅผ ์ํด์์ฆ์ 1์ผ 1ํฉ ์๋์
๋๋ค.
๋งค์ผ ๋ง์คํฌํฉ์ ์ํ์๋ ์ง์ฟ ํผ๋ถ๋ค์ ์ํด๊ฒฝ์ ์ ์ผ๋ก ๋ถ๋ด๋์ง ์๋๋ก์ต๊ณ ์ ์ ํ์ ์ ์ฌํฉ๋๋ค.
GCOOP USA
โข
Event Period: 07/13/2020 (Mon) ~ Out of Stock.
โข
Event Details:
Purchase 2 of the event products and receive one for free!
โข
Sale Items
-Carecella Dead Sea Salt
- Probiotics
โข
The 2+1 promotion applies ONLY to the event products found on โPromotional Saleโ page of our website.
GCOOP Taiwan
โ ไธ่ชฒๆนๅผ๏ผZOOM็ทไธ่ชฒ็จ
โ ่ชฒ็จๆ้๏ผ7ๆ 17ๆฅ(ไบ) 20:00
โ ่ชฒ็จๅ
งๅฎน๏ผMSMไธๅชๆฏMSM
โ ่ฌๅธซ๏ผJerry้ๅบซไบบ
โ ไธ่ชฒๆนๅผ๏ผZOOM็ทไธ่ชฒ็จ
โ ่ชฒ็จๆ้๏ผ7ๆ 19ๆฅ(ๆฅ) 20:00(1ๅฐๆ)
โ ่ชฒ็จๅ
งๅฎน๏ผ้ญ
ๅๅบๅฆๅไปถ็ต
โ ่ฌๅธซ๏ผ็ๅทงๅฎ ้ๅบซไบบ
์ ํํ์ต GPS - 16ํธ CK๋ง์คํฌ
์บกํด์ฟก๋ฐฉ
์งํ์คํ(GFESTA)์์ ํ๋งค๋๋ ์์ฌ๋ฃ๋ฅผ ํ์ฉํ ์์ ํ ์บกํด์ ๊ฐํธํ ์๋ฆฌ ์๋ฆฌ์ฆ. ๋ง์๋ ์์๊ณผ ํจ๊ป ์ฆ๊ฑฐ์ด ๋ํ๊น์ง ์ฆ๊ธฐ๋ ์๋ฆฌ์ฆ ์์์
๋๋ค.
์ง์ฟฑ ๋จ์ ์บ ํผ์ค & ์ ๋๋ด๋ฐ์ด์ค ์๊ฐ
Gallery view
Search
๋คํธ์ํฌ๋ง์ผํ ์ ๋๋ก ํ์ตํ๊ธฐ
โข
์ธํํธ ์๋, ์จ๋ผ์ธ์ผ๋ก ๋ฐฐ์ฐ๋ ๋ฌด๋ฃ ๋คํธ์ํฌ๋ง์ผํ
45๊ฐ์ข
โข
๊ธฐ์ด-์ค๋ฌด-MBA 3๊ฐ์ ๊ณผ์ ์ผ๋ก ์งํ๋๋ฉฐ, ํ์ฌ โ์ด๋ณด ์ฌ์
์๋ฅผ ์ํ ๊ธฐ๋ณธ๊ณผ์ 15๊ฐ์ขโ๊ฐ ์งํ์ค์
๋๋ค.
โข
์ด๋ณด ์ฌ์
์๋ฅผ ์ํ ๊ธฐ๋ณธ๊ณผ์ ๋ณด๋ฌ๊ฐ๊ธฐ
ํด๋ฆญ
์ถ์ฒ๋์ ํจ๊ป ์ฝ์ด์
Gallery view
Search
์ธ๋ก ์์ ์ง์ฟฑ๊ณผ ์ ๋๋ด๋ฐ์ด์ค
7์ 1์ผ ์ฌํ์ ๊ธฐ์
์ ๋ ๋ก 1์ฃผ๊ฐ ์ฌํ์ ๊ธฐ์
ย ์ฃผ๊ฐ์
๋๋ค.
<์ฌํ์ ๊ธฐ์
ย ์ฌํ์ ย ๊ฒฝ์ ย ๋ฐ์ด์์
ย ์บ ํ์ธ>์ผ๋ก ์ ๋ฌธ ์นผ๋ผ ์์ ์๊ฐ๋ ์ ๋๋ด๋ฐ์ด์ค & ์ง์ฟฑ
๋ผ์ดํ์คํ์ผ Life Style
๊ณผ์ํธ
Copyright 2020 SUCCESS WORLD MAGAZINE. All Rights Reserved.
์์ธ์ค๋งค๊ฑฐ์งSUCCESS WORLD์์ ๋ฐํํ๋ ๋น๋๋ฉด ์จ๋ผ์ธ ์์์ง์
๋๋ค.
๋ด์ค์ ๋ณด
ksgroup382@naver.com


















